
Negli ultimi anni la qualità dell'aria in Toscana è migliorata (vedi report sulla qualità dell'aria 2014), ed anche l'emergenza di queste settimane registra livelli inferiori a quelli che interessano la Pianura Padana.
Le fonti dell'inquinamento atmosferico, ed in particolare delle polveri sottili (PM10) sono sostanzialmente due nelle nostre città: il traffico ed il riscaldamento. Influenzate a loro volta dalle condizioni climatiche: assenza di pioggia e di vento, alta pressione (la situazione anomala di questi mesi invernali) ne favoriscono la concentrazione e la persistenza.
Si combattono fondamentalmente con interventi strutturali:
- spostando la mobilità delle persone e delle merci dai mezzi privati e più inquinanti a mezzi collettivi ed ecologici, in particolare su rotaia;
- superando i riscaldamenti a gasolio ed a legna e favorendo l'introduzione di sistemi meno inquinanti (fonti rinnovabili, pompe di calore, caldaie a condensazione, efficienza energetica degli edifici, ecc.).
Tuttavia, in presenza di situazioni persistenti di superamenti dei limiti, quali quelle registrate ormai da diverse settimane, sono necessari anche interventi di emergenza, che - pur non essendo risolutivi - tuttavia sono rivolti ad attenuare almeno temporaneamente i livelli di inquinamento, che se persistenti potrebbero avere effetti negativi sulla salute delle persone.
Anche negli interventi di emergenza è necessario privilegiare misure che limitino le fonti più rilevanti di inquinamento nelle varie zone del territorio.
Il monitoraggio che svolge ARPAT, che mette a disposizione di tutti sul Web i dati, è utile ai fini dell'assuzione di decisioni di breve e lungo periodo da parte delle amministrazioni.
Nell'ultimo mese, in tutta la Toscana si sono registrati 313 superamenti del limite giornaliero di 50 microgrammi/metro cubo fissato dalla normativa europea ed italiana. In 14 casi il valore superato è il doppio del limite, cioè più di 100 µg/m3.
Le aree interessate dai superamenti sono essenzialmente tutte quelle della pianura centrale lungo la valle dell'Arno, come emerge esaminando la situazione nelle 6 aree omogenee in cui è diviso il territorio regionale (considerando tutte le tipologie di centralina):
- Agglomerato fiorentino: 59 superamenti;
- piana Prato - Pistoia: 81 superamenti;
- Valdarno Pisano e Piana Lucchese: 113 superamenti.
- Valdarno Aretino e Valdichiana: 32 superamenti
- zona Costiera: 17 superamenti
- zona Collinare-Montana: 11 superamenti.
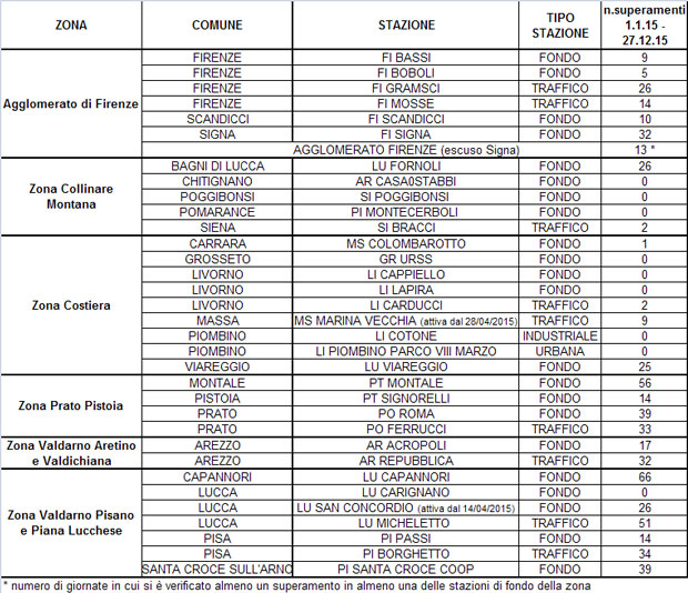
Nella seguente tabella ci sono i dati relativi a tutto l'anno per tutte le centraline della rete regionale, anche se ai fini dei provvedimenti si deve tere conto solo di quelle di fondo.
La precedente tabella riporta i dati dell'attuale rete regionale di monitoraggio della qualità dell'aria (DGR 964/2015), tuttavia i provvedimenti contingibili ed urgenti sono applicati, fino all'entrata in vigore in gennaio della DGR 1182/2015, ancora ai sensi della DGR 22/2011 e quindi non si applicano a molti comuni ed hanno a riferimento solo alcune centraline indicate dall'allegato 1 della medesima deliberazione (vedi qui sotto):
Per questo il direttore generale di ARPAT, Maria Sargentini, nei giorni scorsi ha fatto appello al buon senso, affinché siano promosse azioni utili a contrastare l'attuale situazione. In condizioni di emergenza sembra opportuno assumere iniziative che vadano anche al di la' dell'ordinario.
La norma europea ed italiana prevede he il conteggio dei superamenti del limite giornaliero del PM10 sia considerato sulla base dell'anno solare, quindi al 31 dicembre la situazione formalmente si azzererebbe, ma ciò - alla luce della situazione di emergenza in corso - appare contrario al buon senso, ed alla salvaguardia della salute dei cittadini.
Per questo ARPAT auspica che si tenga conto di cio' e si faccia in modo che tale conteggio, sulla cui base i comuni devono adottare misure di salvaguardia, sia effettuato per tali finalità sulla base degli ultimi 12 mesi e non dell'anno solare. In questo modo, tutta la stagione autunno-invernale (settembre-aprile), in cui si manifestano maggiori livelli di inquinamento atmosferico, sarebbe considerata in modo unitario e non ci sarebbe alcun azzeramento formale con l'inizio del nuovo anno.
Infine l'Agenzia, tenuto conto della revisione delle norme regionali in materia che entreranno in vigore a gennaio (15 giorni dopo la pubblicazione sul BURT), con la ridefinizione delle aree omogenee e l'estensione del numero di comuni che devono adottare interventi per contrastare l'inquinamento atmosferico, auspica che - al di là degli aspetti formali - si dia seguito in anticipo alle novità previste, applicando il principio di precauzione. D'altra parte la stessa delibera prevede che: - "E’ fatta salva la potestà del Sindaco di intervenire con ulteriore anticipo nei casi in cui lo riterrà opportuno, per quanto di competenza, anche in relazione al perdurare del fenomeno e della relativa intensità."
Fonte: Arpat
Notizie correlate
Tutte le notizie di Toscana
<< Indietro








